
Artículo Original |
Evaluación de la calidad del servicio en la dispensación de medicamentos y su impacto en la fidelización de clientes en botica Luzmedic, Satipo
Evaluation of Service Quality in Medication Dispensing and Its Impact on Customer Loyalty at Botica Luzmedic, Satipo
Fabricio
Miguel, Moreno Menéndez
; Maril Patty, Casio
Ambicho
; Sisy Sara Barros, Lanazca
; Leyla, Chipana
Saldivar
; Edith Pilar, Quispe Espinoza
; Franco Jesús, Torres Ruiz
; Jefrin Marlon, Silva Murillo ![]()
Universidad Peruana Los Andes, Huancayo, Perú.
Resumen
La evaluación de la calidad de servicio de dispensación de medicamentos y la fidelización de los clientes en BOTICA LUZMEDIC de la provincia de Satipo se centró en establecer la relación entre ambas variables. La metodología empleada incluyó un enfoque general y un método específico hipotético-deductivo, con un nivel relacional y un diseño cuantitativo. Se realizó una investigación no experimental, de corte transversal y descriptivo. La población estuvo compuesta por 256 clientes de BOTICA LUZMEDIC, de los cuales se seleccionó una muestra representativa de 153 clientes. Para la recolección de datos, se utilizó un cuestionario aplicado a través de encuestas, y el análisis estadístico se llevó a cabo mediante la prueba Rho de Spearman utilizando el software SPSS.Los resultados obtenidos indicaron una correlación positiva débil entre la calidad del servicio de dispensación de medicamentos y la fidelización, con un coeficiente Rho de Spearman (r = 0.419) y un valor p = 0.000. Además, se observó que el 39.7% de los encuestados consideraron que la calidad del servicio era adecuada, mientras que el 32.7% manifestó insatisfacción con ciertos aspectos del proceso de dispensación. Estos hallazgos llevaron al rechazo de la hipótesis nula y a la aceptación de la hipótesis alterna, sugiriendo que existe un vínculo significativo entre ambas variables. En conclusión, los resultados destacan la necesidad de mejorar la calidad del servicio como una estrategia fundamental para aumentar la fidelización en los clientes de BOTICA LUZMEDIC, proponiendo acciones específicas en áreas críticas para optimizar la experiencia del cliente.
Palabras clave: calidad de servicio, dispensación de medicamentos, cliente, fidelización.
Abstract
The evaluation of the quality of service in the dispensing of medications and customer loyalty at BOTICA LUZMEDIC in the province of Satipo focused on establishing the relationship between these two variables. The methodology employed included a general approach and a specific hypothetical-deductive method, with a relational level and a quantitative design. This was a non-experimental, cross-sectional, descriptive study. The population consisted of 256 customers from BOTICA LUZMEDIC, from which a representative sample of 153 customers was selected. A questionnaire was used as the data collection instrument, applied through surveys, and statistical analysis was conducted using the Spearman Rho test with SPSS software.The results indicated a weak positive correlation between the quality of service in medication dispensing and customer loyalty, with a Spearman Rho coefficient of (r = 0,419) and a p-value of 0,000. Additionally, it was found that 39.7% of respondents considered the quality of service to be adequate, while 32,7% expressed dissatisfaction with certain aspects of the dispensing process. These findings led to the rejection of the null hypothesis and acceptance of the alternative hypothesis, suggesting that there is a significant link between both variables. In conclusion, the results highlight the need to improve service quality as a fundamental strategy to enhance customer loyalty at BOTICA LUZMEDIC, proposing specific actions in critical areas to optimize the customer experience.
Keywords: quality of service, medication dispensing, customer, loyalty.
|
Recibido/Received |
01-10--2024 |
Aprobado/Approved |
12-11-2024 |
Publicado/Published |
18-11-2024 |
Introducción
La fidelización de clientes se ha convertido en una estrategia fundamental dentro del marketing, especialmente en un entorno globalizado y competitivo, donde captar nuevos clientes es significativamente más costoso que mantener a los existentes (García, 2005). Esta realidad implica que las empresas deben priorizar la fidelización como un deber esencial para su rentabilidad (Alcaide, 2010). Estudios recientes confirman que la lealtad del cliente no solo incrementa los ingresos, sino que también reduce los costos operativos y mejora la reputación de la marca (Alcivar-Soria, 2024; Paucar Lema, 2024).
La calidad del servicio en la dispensación de medicamentos es un aspecto crítico que impacta directamente en la fidelización de los clientes. En el contexto post-pandemia de COVID-19, se ha evidenciado un aumento en la irresponsabilidad del consumo de medicamentos, lo que ha llevado a consecuencias negativas para los objetivos terapéuticos (Herrera & Poma, 2022). Investigaciones actuales destacan la importancia de una atención farmacéutica personalizada y de alta calidad para mejorar la adherencia al tratamiento y la satisfacción del paciente (Rajiah et al., 2021).
Además, la implementación de tecnologías de la información y la comunicación (TICs) en la dispensación de medicamentos ha demostrado ser una herramienta eficaz para mejorar la experiencia del cliente y fomentar su lealtad. Las TICs permiten una gestión más eficiente de los inventarios, un seguimiento más preciso de los tratamientos y una comunicación más fluida entre farmacéuticos y pacientes (Abaidoo & Larweh, 2014). Estas mejoras tecnológicas no solo optimizan el servicio, sino que también fortalecen la relación de confianza entre el cliente y la botica.
Por otra parte, la formación continua de los profesionales farmacéuticos y su compromiso con la ética profesional son esenciales para garantizar un servicio de calidad. La capacitación en nuevas normativas y buenas prácticas de dispensación contribuye a minimizar los errores y a ofrecer un asesoramiento adecuado a los pacientes (Cruz Montaña, 2024; De la Cruz Quispe, 2024). Este enfoque integral en la calidad del servicio y la fidelización del cliente es clave para el éxito sostenible de las boticas en un mercado altamente competitivo.
En 2017, el Diario El Comercio destacó que todas las cadenas farmacéuticas competían intensamente por una mayor cuota de mercado y posicionamiento de marca, desarrollando programas agresivos de fidelización con el objetivo de captar y retener clientes, bajo el lema de ser las más económicas. Esta competencia ha desencadenado una guerra de precios en un mercado que supera los 2400 millones de soles, dominado por Inkafarma y Mifarma, ambas pertenecientes al mismo grupo empresarial. Estas grandes cadenas están desplazando a las tradicionales boticas de barrio.
La Dirección General de Medicamentos, Insumos y Drogas (DIGEMID) señala que en nuestro país existen 20,256 establecimientos de salud entre boticas y farmacias, los cuales constituyen un aliado estratégico en la dispensación de medicamentos, centrada en el conocimiento de los clientes, el uso de tecnologías de la información y la comunicación (TICs), y el asesoramiento gratuito como valor agregado y diferenciación (Alva, 2017).
Al cierre de 2021, aproximadamente 2400 farmacias y boticas se comprometieron a mejorar sus relaciones con los clientes. Las boticas y farmacias que forman parte de la Asociación Nacional de Cadenas de Boticas (ANACAB) presentaron ante INDECOPI su compromiso de brindar un mejor servicio de calidad a sus clientes, mejorando inventarios, comercio electrónico, delivery, precios justos, y promoviendo la sensibilización y concientización para evitar la automedicación y fomentar hábitos de consumo responsables y saludables (Alva, 2017).
Asimismo, la Dirección Regional de Salud (DIRESA) de Chanchamayo realizó en el primer trimestre de 2022 un operativo inopinado en 17 locales de venta de medicamentos para supervisar el cumplimiento de las normas sanitarias. Este operativo evidenció la existencia de locales informales sin documentos de autorización sanitaria, la ausencia de profesionales químicos farmacéuticos, y el incumplimiento en la dispensación y almacenamiento de medicamentos.De la misma manera, el rol del profesional químico farmacéutico es crucial para el cumplimiento de la normativa de atención farmacéutica, considerada una herramienta primordial para el desarrollo enfocado en la dispensación de medicamentos de calidad (Manual de Buenas Prácticas de Dispensación).
Este estudio se enfoca en mejorar la salud comunitaria, mediante una dispensación eficiente en boticas. Los objetivos incluyen asegurar el cumplimiento de prescripciones médicas, orientar a los pacientes en el uso adecuado de medicamentos, y resolver problemas relacionados con su uso. Además, se busca promover la coordinación entre profesionales de salud, camino al fidelización de clientes en botica Luzmedic, Satipo.
El diseño de la investigación fue descriptivo correlacional, con el objetivo de examinar la relación entre la calidad del servicio de dispensación de medicamentos y la fidelización de clientes (Mártinez, 2020). Se utilizó un diseño descriptivo no experimental, lo que significa que el investigador no manipuló las variables ni la población (Roberto Hernández & Mendoza, 2018b). Además, se aplicó un diseño transversal, donde se recolectó información en un solo momento para asegurar datos verídicos y oportunos, aunque la aplicación del instrumento podría variar según el tamaño de la muestra (Mártinez, 2020). Finalmente, el enfoque fue cuantitativo, caracterizado por el uso de encuestas que proporcionan datos numéricos relevantes para el análisis (Mártinez, 2020). En la figura 1, se muestra el esquema del diseño de la investigación.
Figura 1. Esquema del diseño de la investigación
|
Donde:
-M : Muestra. -O1 : Observación de la primera variable. -O2 : Observación de la segunda variable. -r : Relación entre las variables |
|
|
|
|
La población de la presente investigación fuerón los clientes de la BOTICA LUZMEDIC en la provincia de Satipo, definidos como un grupo de personas que comparten ciertas características relevantes para el estudio (Hernández y Mendoza, 2018). Para este análisis, se consideraron 256 clientes que realizaron compras durante el mes de febrero, un periodo identificado como de baja actividad.
En cuanto a la muestra, se determinó que un subgrupo relevante para la investigación sería de 153 clientes, calculado a partir de la población total de 256 mediante una fórmula estadística adecuada para poblaciones finitas. Se aplicó un muestreo probabilístico, lo que garantiza que cada cliente tenga una oportunidad conocida y no nula de ser seleccionado. La fórmula utilizada asume un nivel de confianza del 95% y un margen de error del 4%, con una probabilidad del 50%, lo que proporciona una base sólida para la recolección de datos y la difusión de resultados (Hernández y Mendoza, 2018).
Se empleó la técnica de la encuesta para recolectar información sobre las variables de estudio, lo que permitirá procesar y contrastar la hipótesis planteada (Bernal, 2016). El instrumento utilizado en se centra en dos variables principales: calidad de servicio y fidelización. La calidad de servicio se evalúa a través de diversas dimensiones relacionadas con el proceso de dispensación, que abarca la recepción y validación de la prescripción, el análisis e interpretación de la misma, la preparación y selección de productos, así como los registros y la entrega de productos e información. Los indicadores específicos incluyen la solicitud y validación de recetas, la información proporcionada sobre los medicamentos, y la adecuación del empaque. Además, se considera el entorno del servicio de dispensación, evaluando aspectos como el ambiente físico, las estanterías y superficies utilizadas, así como el equipo y materiales de envasado. También se analizan la apariencia, disponibilidad, fiabilidad y comportamiento del personal.
Por otro lado, la fidelización se mide a través de dimensiones como diferenciación, personalización, satisfacción y lealtad. Los indicadores asociados incluyen la distinción del servicio, la valoración y proporcionalidad de los medicamentos ofrecidos, el reconocimiento y adaptación a las necesidades del cliente, así como la capacidad de respuesta y compromiso del personal. Estos indicadores se evalúan mediante ítems específicos que reflejan la experiencia del cliente en la BOTICA LUZMEDIC, proporcionando una visión integral sobre cómo se perciben tanto la calidad del servicio como el nivel de fidelización. La medición fué mediante una una escala de Likert, que ofrece cinco opciones de respuesta: 1 = Nunca, 2 = Casi nunca, 3 = A veces, 4 = Casi siempre y 5 = Siempre. Este cuestionario, que abarca las dos variables de estudio (Calidad de servicio y Fidelización), fue adaptado de Vidal (2020).
El procesamiento y análisis de los datos se llevará a cabo utilizando el software SPSS 26 (Statistical Package for Social Sciences), donde se tabularán los resultados en tablas de frecuencia e interpretarán gráficos. Para garantizar la validez del estudio, se proporcionarán instrucciones claras a los clientes sobre el llenado del cuestionario, que será anónimo y requerirá su consentimiento informado. Además, se cumplirán todas las normativas éticas establecidas por la Universidad Peruana los Andes, asegurando el respeto a la integridad y privacidad de todos los participantes involucrados en la investigación.
Resultados
La tabla 1, muestra que en la variable calidad de servicio de dispensación, la mayoría de las respuestas se concentran en el nivel medio, con porcentajes que oscilan entre el 57.516% y el 61.438%. Esto sugiere que los usuarios perciben una calidad de servicio adecuada pero no excelente. En particular, el Proceso de dispensación y el Entorno para servicio de dispensación tienen frecuencias y porcentajes similares, lo que indica una percepción consistente en estos aspectos. Sin embargo, el nivel alto tiene porcentajes significativamente menores, lo que resalta áreas potenciales de mejora.
Tabla 1. Calidad del servicio de dispensación y fidelización del cliente
|
Variable |
Dimensiones |
Valoración |
|||||
|
Bajo |
Medio |
Alto |
|||||
|
F |
% |
F |
% |
F |
% |
||
|
Calidad de servicio de dispensación |
Calidad de servicio de dispensación |
46 |
30,065 |
94 |
61,438 |
13 |
8,497 |
|
Proceso de dispensación |
48 |
31,373 |
91 |
59,477 |
14 |
9,150 |
|
|
Entorno para servicio de dispensación |
51 |
33,333 |
88 |
57,516 |
14 |
9,150 |
|
|
Personal |
48 |
31,373 |
88 |
57,516 |
17 |
11,111 |
|
|
Fidelización |
Fidelización |
52 |
33,987 |
95 |
62,092 |
6 |
3,922 |
|
Diferenciación |
69 |
45,098 |
70 |
45,752 |
14 |
9,150 |
|
|
Personalización |
63 |
41,176 |
72 |
47,059 |
18 |
11,765 |
|
|
Satisfacción |
61 |
39,869 |
81 |
52,941 |
11 |
7,190 |
|
|
Fidelidad |
67 |
43,791 |
76 |
49,673 |
10 |
6,536 |
|
|
Habitualidad |
59 |
38,562 |
79 |
51,634 |
15 |
9,804 |
|
|
En cuanto a la variable fidelización, se observa una tendencia similar, con la mayoría de las respuestas en el nivel medio, especialmente en fidelización (62.092%) y Satisfacción (52.941%). La Diferenciación y la Personalización también muestran una distribución equilibrada entre los niveles bajo y medio, pero con un porcentaje ligeramente mayor en el nivel bajo para Diferenciación (45.098%). Estos resultados indican que, aunque hay una base sólida de fidelización, existen oportunidades para aumentar la satisfacción y la personalización del servicio para mejorar la lealtad del cliente. La prueba de normalidad de datos se llevó a cabo para evaluar la distribución de las variables de calidad de servicio de dispensación y fidelización. La hipótesis nula establece que ambas variables siguen una distribución normal, mientras que la hipótesis alterna propone que no lo hacen. Para determinar la validez de estas hipótesis, se utilizará la prueba estadística de Kolmogorov-Smirnov, adecuada para muestras grandes (n > 30) (Tabla2).
Tabla 2. Pruebas de normalidad |
||||||
|
|
Kolmogorov-Smirnova |
Shapiro-Wilk |
||||
|
Estadístico |
gl |
Significancia |
Estadístico |
gl |
Significancia |
|
|
Calidad de servicio de dispensación |
0,193 |
153 |
0,000 |
0,873 |
153 |
0,000 |
|
Fidelización |
0,171 |
153 |
0,000 |
0,895 |
153 |
0,000 |
|
a. Corrección de significación de Lilliefors |
||||||
Con un p- valor < 0.05 en la calidad de servicio de dispensación, podemos afirmar que los datos de esta variable no siguen una distribución normal. Sin embargo; también se aprecia que la variable fidelización (p-valor < 0.05) no sigue una distribución normal. Por lo tanto, se ha utilizado una prueba no paramétrica.
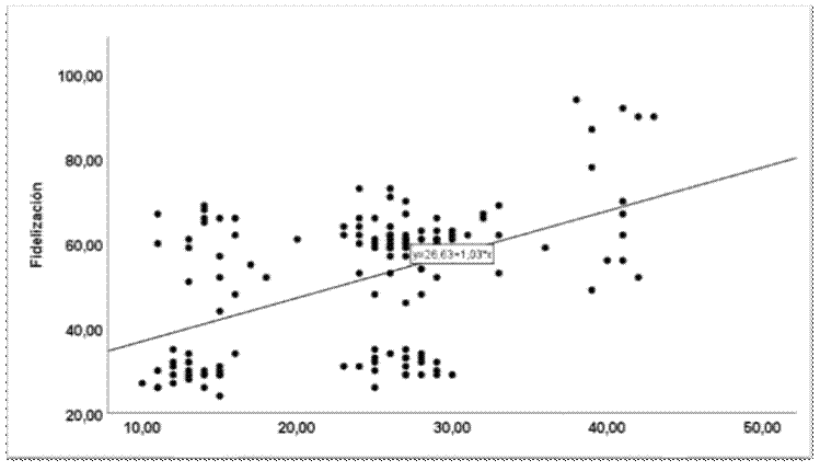
Se utilizó el estadístico Rho de Spearman para el estudio correlacional con escala de medición ordinal (Hernández & Mendoza, 2018). La contrastación de la hipótesis general se establece con dos proposiciones: la hipótesis nula sostiene que no existe una relación directa entre la calidad de servicio de dispensación de medicamentos y la fidelización de los clientes de BOTICA LUZMEDIC en la provincia de Satipo, mientras que la hipótesis alterna plantea que sí existe tal relación. Para evaluar estas hipótesis, se aplicará la prueba estadística Rho de Spearman, que es adecuada para determinar la asociación entre variables ordinales y permitirá analizar si hay una correlación significativa entre las dos variables en estudio (Tabla 3) y Diagrama de dispersión entre calidad de servicio de dispensación y fidelización (Figura 2).
|
Tabla 3. Correlación entre calidad de servicio de dispensación y fidelización |
|||||
|
|
Calidad de servicio de dispensación |
Fidelización |
|||
|
Rho de Spearman |
Calidad de servicio de dispensación
|
Coeficiente de correlación |
1,000 |
0,419** |
|
|
Significancia (bilateral) |
. |
0,000 |
|||
|
N |
153 |
153 |
|||
|
Fidelización |
Coeficiente de correlación |
0,419** |
1,000 |
||
|
Significancia (bilateral) |
0,000 |
. |
|||
|
N |
153 |
153 |
|||
|
**. La correlación es significativa en el nivel 0,01 (bilateral). |
|||||
Los resultados indican que el índice de correlación Rho de Spearman muestra una correlación positiva débil entre la calidad del servicio de dispensación y la fidelización, con un coeficiente r=0.419r=0.419 y un valor p=0.000p=0.000 (Tabla 4) y dispersión entre formulación estratégica y la competitividad empresarial (Figura ·). Esto lleva a rechazar la hipótesis nula, que sostiene que no existe relación entre estas variables, y a aceptar la hipótesis alterna, que afirma que sí hay una relación directa. En la contrastación de la hipótesis específica 1, se plantea que no existe relación directa entre el proceso de dispensación y la fidelización en los clientes de BOTICA LUZMEDIC en la provincia de Satipo, frente a la hipótesis alterna que propone lo contrario. Para esta evaluación, se utilizará nuevamente el estadístico Rho de Spearman, lo que permitirá determinar si el proceso de dispensación influye en la fidelización de los clientes.
Figura 2. Diagrama de dispersión entre calidad de servicio de dispensación y fidelización
Como se puede observar en la tabla 4, el índice de correlación Rho de Spearman indica que existe una correlación positiva débil entre el proceso de dispensación y la fidelización, con un coeficiente r = 0,397 y un valor p = 0,000. Esto lleva a rechazar la hipótesis nula, que sostiene que no hay relación entre estas variables, y a aceptar la hipótesis alterna (hipótesis específica 1), que afirma que sí existe una relación directa.
En la contrastación de la hipótesis específica 2, se establece que no existe relación directa entre el entorno del servicio de dispensación y la fidelización en los clientes de BOTICA LUZMEDIC en la provincia de Satipo, frente a la hipótesis alterna que propone lo contrario. Para evaluar esta relación, se aplicará nuevamente el estadístico Rho de Spearman, lo que permitirá determinar si el entorno del servicio influye en la fidelización de los clientes. La figura 3 presenta un diagrama de dispersión que ilustra esta relación potencial entre las variables.
|
Tabla 4. Correlación entre proceso de dispensación y fidelización |
||||
|
|
Proceso de dispensación |
Fidelización |
||
|
Rho de Spearman |
Proceso de dispensación |
Coeficiente de correlación |
1,000 |
0,397** |
|
Significancia (bilateral) |
. |
0,000 |
||
|
N |
153 |
153 |
||
|
Fidelización |
Coeficiente de correlación |
0,397** |
1,000 |
|
|
Significancia (bilateral) |
0,000 |
. |
||
|
N |
153 |
153 |
||
|
**. La correlación es significativa en el nivel 0,01 (bilateral). |
||||
Como se puede observar en la Tabla 5, el índice de correlación Rho de Spearman revela una correlación positiva débil entre el entorno del servicio de dispensación y la fidelización, con un coeficiente de r = 0.383 y un valor p=0,000. Estos resultados llevan a rechazar la hipótesis nula, que sostiene que no existe relación entre estas variables, y a aceptar la hipótesis alterna (hipótesis específica 02), lo que sugiere que el entorno del servicio tiene un impacto en la fidelización de los clientes.
En la contrastación de la hipótesis específica 03, se plantea que no existe relación directa entre el personal y la fidelización en los clientes de BOTICA LUZMEDIC en la provincia de Satipo. La hipótesis alterna sugiere lo contrario, afirmando que sí hay una relación directa. Para evaluar esta relación, se utilizará nuevamente el estadístico Rho de Spearman. La figura 4 presenta un diagrama de dispersión que ilustra la posible conexión entre el personal y la fidelización, permitiendo una visualización clara de cómo estas variables pueden interactuar.
Figura 3. Diagrama de dispersión entre formulación estratégica y la competitividad empresarial
Tabla 5. Correlación entre entre entorno para el servicio de dispensación y fidelización
|
|
Entorno para el servicio de dispensación |
Fidelización |
||
|
Rho de Spearman |
Entorno para el servicio de dispensación |
Coeficiente de correlación |
1,000 |
0,383** |
|
Significancia (bilateral) |
. |
,000 |
||
|
N |
153 |
153 |
||
|
Fidelización |
Coeficiente de correlación |
0,383** |
1,000 |
|
|
Significancia (bilateral) |
0,000 |
. |
||
|
N |
153 |
153 |
||
|
**. La correlación es significativa en el nivel 0,01 (bilateral). |
||||
Como se puede observar en la Tabla 6, el índice de correlación Rho de Spearman indica que existe una correlación positiva débil entre el personal y la fidelización, con un coeficiente de r=0,449 y un valor p=0,000. Estos resultados permiten rechazar la hipótesis nula, que sostiene que no existe relación entre estas variables, y aceptar la hipótesis alterna (hipótesis específica 03), sugiriendo que la interacción del personal influye en la fidelización de los clientes en BOTICA LUZMEDIC.
Figura 4. Diagrama de dispersión entre entorno para el servicio de dispensación y fidelización
En la contrastación de la hipótesis específica 03, se plantea que no existe relación directa entre el personal y la fidelización en los clientes de BOTICA LUZMEDIC en la provincia de Satipo, mientras que la hipótesis alterna sostiene lo contrario. Para evaluar esta relación, se aplicará nuevamente el estadístico Rho de Spearman. La figura 5 presenta un diagrama de dispersión que ilustra la posible conexión entre el personal y la fidelización, proporcionando una representación visual que resalta cómo la calidad del servicio brindado por el personal puede impactar en la lealtad del cliente.
Tabla 6. Correlación el personal y la fidelización
|
|
Personal |
Fidelización |
||
|
Rho de Spearman |
Personal |
Coeficiente de correlación |
1,000 |
0,449** |
|
Significancia (bilateral) |
. |
0,000 |
||
|
N |
153 |
153 |
||
|
Fidelización |
Coeficiente de correlación |
0,449** |
1,000 |
|
|
Significancia (bilateral) |
0,000 |
. |
||
|
N |
153 |
153 |
||
|
**. La correlación es significativa en el nivel 0,01 (bilateral). |
||||
Figura 5. Diagrama de dispersión entre personal y fidelización

Los resultados obtenidos a través del índice de correlación Rho de Spearman revelaron una correlación positiva débil (r = 0.419; p = 0.000) entre ambas variables, lo que llevó al rechazo de la hipótesis nula y a la aceptación de la hipótesis alterna. Este hallazgo se alinea con lo propuesto por Vidal (2020), quien enfatiza la importancia de implementar un plan que incluya un mapa de procesos y normativas internas basadas en buenas prácticas de dispensación. Estas medidas son fundamentales para maximizar la calidad del servicio y, en consecuencia, fomentar la fidelización del cliente (Alcaide, 2010). La figura del gestor de calidad se presenta como clave para garantizar el cumplimiento de estas prácticas a través de capacitaciones y controles continuos, mientras que estrategias como el "monedero del ahorro" pueden incentivar las compras repetitivas mediante descuentos, promoviendo así la lealtad del cliente (Alva, 2017).
En relación a la conexión entre el proceso de dispensación y la fidelización, los resultados también mostraron una correlación positiva débil (r = 0.397; p = 0.000). Este respalda las afirmaciones de Rodríguez (2021), quien destaca que una atención eficiente y equitativa es crucial para satisfacer las necesidades del paciente, siendo el tiempo de espera un factor determinante en la percepción del servicio. La gestión adecuada del personal y su capacitación continua son esenciales para mejorar no solo el desempeño individual, sino también el clima laboral y la satisfacción general del usuario (Herrera & Poma, 2022). La implementación de un modelo de gestión de calidad que considere las sugerencias de los usuarios puede contribuir significativamente a optimizar el servicio, minimizar costos y mejorar la atención al cliente, asegurando así un impacto positivo en su fidelización (DIGEMID, 2009; Cruz Montaña, 2024).
Al establecer la relación que existe entre el entorno para el servicio de dispensación y la fidelización en clientes de BOTICA LUZMEDIC de la provincia de Satipo, se encontró que el índice de correlación Rho de Spearman indica una correlación positiva débil (r = 0.383; p = 0.000) entre estas variables. Esto llevó al rechazo de la hipótesis nula y a la aceptación de la hipótesis alterna. Este resultado se alinea con lo señalado por Alcaide (2010), quien destaca la importancia de optimizar los espacios en el almacén para una mejor distribución y enfatiza la necesidad de capacitar a todos los colaboradores del área de farmacia en el manual de dispensación, con el fin de mejorar la calidad del servicio. Asimismo, Guananga (2022) menciona la implementación de un sistema de dispensación de medicamentos por dosis unitaria (SDMDU), que busca maximizar los recursos del centro hospitalario y asegurar un control de calidad en la logística de medicamentos, minimizando así pérdidas y garantizando una atención adecuada a los pacientes.
En cuanto a la relación entre el personal y la fidelización en clientes de BOTICA LUZMEDIC, el índice de correlación Rho de Spearman mostró una correlación positiva débil (r = 0.449; p = 0.000). Este resultado respalda las afirmaciones de Burgos (2022), quien sugiere que es fundamental implementar talleres sobre motivación y clima organizacional para mejorar las competencias y desempeño del personal, lo cual es clave para elevar la calidad del servicio y, en consecuencia, la satisfacción del usuario. Además, De Tomas (2018) enfatiza que la responsabilidad por la mejora continua recae en los funcionarios y jefes, quienes deben establecer estrategias como supervisiones inopinadas para evaluar el cumplimiento. Cevallos (2022) también resalta la importancia del profesional farmacéutico en el sistema de salud y su papel en el Modelo de Atención Integral, mientras que Román et al. (2020) abordan cómo los principios éticos son esenciales para resolver conflictos en dispensación. Estos elementos subrayan que no solo es responsabilidad de los farmacéuticos garantizar una atención adecuada, sino que es un esfuerzo conjunto que requiere políticas públicas educativas efectivas para formar profesionales competentes en el sector salud.
Consideraciones finales
La investigación realizada ha permitido establecer la relación entre la calidad de servicio de dispensación de medicamentos y la fidelización en los clientes de BOTICA LUZMEDIC de la provincia de Satipo. Los resultados obtenidos mediante el índice de correlación Rho de Spearman evidencian una correlación positiva débil, lo que indica que, aunque la relación no es fuerte, existe un vínculo significativo. Este hallazgo sugiere que mejorar la calidad del servicio puede contribuir a aumentar la fidelización de los clientes.
Asimismo, se han explorado las relaciones específicas entre el proceso de dispensación, el entorno del servicio y el personal en relación con la fidelización. Los índices de correlación también mostraron correlaciones positivas débiles en estas dimensiones, lo que resalta la importancia de capacitar al personal y optimizar el entorno físico para mejorar la experiencia del cliente. Las estrategias recomendadas incluyen capacitaciones continuas y mejoras en los procesos operativos, lo que podría resultar en un incremento en la satisfacción del cliente y, por ende, en su fidelización. En conclusión, esta investigación subraya la necesidad de implementar mejoras en el servicio farmacéutico como una estrategia clave para fomentar la lealtad del cliente en el sector salud.
A la Universidad Peruana Los Andes.
No se reporta conflicto de intereses.
Abaidoo, B., & Larweh, B. T. (2014). Consumer health informatics: The application of ICT in improving patient-provider partnership for a better health care. Online Journal of Public Health Informatics, 6(2), e188. https://doi.org/10.5210/ojphi.v6i2.4903
Alcaide, J. (2010). Estrategias de fidelización de clientes. Editorial XYZ. https://books.google.com.co/books?id=CBanCwAAQBAJ&printsec=frontcover&hl=es
Alcivar-Soria, E. E. (2024). Responsabilidad social corporativa como estrategia para mejorar el rendimiento empresarial. Revista Científica Zambos, 3(2), 31-47. https://revistaczambos.utelvtsd.edu.ec/index.php/home/article/view/16
Alva, G. (2017). Boticas VS farmacias ¿Quiénes fidelizan más a sus clientes? El Comercio. http://suplementos.ec.pe/suplementos/comercial/medicina-salud/boticas-vs-farmacias-quienes-fidelizan-mas-sus-clientes-1002881
Burgos, R. (2022). Calidad de servicio y satisfacción de los usuarios del Centro de Atención al Ciudadano de una Municipalidad de Cajamarca, 2022 [Universidad César Vallejo]. https://repositorio.ucv.edu.pe/handle/20.500.12692/100140
Cevallos, A. (2022). Análisis de la función del farmacéutico en el sistema de atención de salud y la realidad ecuatoriana [Universidad Central del Ecuador]. https://www.dspace.uce.edu.ec/bitstream/25000/27712/1/UCE-FCQ-CQF-CEVALLOS%20ARIEL.pdf
Cruz Montaña, L. F. (2024). Diseño de una política institucional en la gestión de la atención farmacéutica para el monitoreo de pacientes con Diabetes Mellitus II. https://expeditiorepositorio.utadeo.edu.co/handle/20.500.12010/35467
De la Cruz Quispe, R. I. (2024). Supervisión interna y calidad de cuidado farmacéutico en una cadena de boticas de Perú 2024. https://repositorio.ucv.edu.pe/handle/20.500.12692/150736
De Tomas, J. (2018). Calidad de servicio y satisfacción del usuario en la distribución de productos farmacéuticos del Hospital 2 de Mayo, 2017 [Universidad César Vallejo - Escuela de Posgrado]. https://repositorio.ucv.edu.pe/handle/20.500.12692/15227
DIGEMID. (2009). Manual de buenas prácticas de dispensación. Ministerio de Salud DIGEMID. http://bvs.minsa.gob.pe/local/MINSA/1022_DIGEMID58.pdf
DIRESA. (2022). 13 boticas y farmacias de la merced fueron cerradas temporalmente por personal de DIRESA Junín. Dirección Regional de Junín. http://www.diresajunin.gob.pe/noticia/id/2022101417_13_boticas_y_farmacias_de_la_merced_fueron_cerradas_temporalmente_por_personal_de_diresa_junn/
García, M. (2005). Marketing y fidelización de clientes. Editorial ABC.
Guananga, M. (2022). Implementación del sistema de dispensación de medicamentos por dosis unitaria en el Hospital Geriátrico Dr. Bolívar Arguello de Riobamba [Escuela Superior Politécnica De Chimborazo]. http://dspace.espoch.edu.ec/handle/123456789/17393
Herrera, J. Á. S., & Poma, Z. A. A. (2022). Precios de mercado y demanda de medicamentos esenciales en el distrito de Ate durante la pandemia del COVID-19. Quipukamayoc, 30(64), 33-41. https://doi.org/10.15381/quipu.v30i64.24303
Paucar Lema, E. W. (2024). Propuesta de mejora de los procesos de la cadena de valor–comerciales de una empresa dedicada a la venta retail de motocicletas y accesorios (Bachelor's thesis). https://dspace.ups.edu.ec/handle/123456789/28954
Rajiah, K., Sivarasa, S., & Maharajan, M. K. (2021). Impact of pharmacists' interventions and patients' decision on health outcomes in terms of medication adherence and quality use of medicines among patients attending community pharmacies: A systematic review. International Journal of Environmental Research and Public Health, 18(9), 4392. https://doi.org/10.3390/ijerph18094392
Rodríguez, A. (2021). Evaluación de la calidad de atención y la satisfacción de los usuarios de la farmacia institucional del Hospital Teófilo Dávila de la Ciudad De Machala [Universidad Católica De Santiago De Guayaquil Sistema De Posgrado]. http://repositorio.ucsg.edu.ec/bitstream/3317/15918/1/T-UCSG-POS-MGSS-293.pdf
